Borang Kebenaran Menggunakan Kenderaan Sendiri Kpm : Borang Kebenaran Menggunakan Kenderaan Sendiri Kpm Shiranase - Misal, kawan beli motor baru, atas nama kawan sendiri.

Borang Kebenaran Menggunakan Kenderaan Sendiri Kpm : Borang Kebenaran Menggunakan Kenderaan Sendiri Kpm Shiranase - Misal, kawan beli motor baru, atas nama kawan sendiri.. Pkb wajib dibayarkan tiap tahun. Mengintegrasikan penggunaan ict dalam proses pengajaran dan pembelajaran (p&p) penggunaan. Untuk menentukan tekanan ban ada banyak faktor tergantung pada cuara, berat beban mobil dan juga merek ban yang digunakan. Guru yang menggunakan kenderaan sendiri untuk membawa murid dikehendaki mengisi borang kebenaran penggunaan kenderaan sendiri. Salinan borang kebenaran berkahwin pihak lelaki.

Senarai semak dokumen permohonan kebenaran kahwin. Baca selengkapnya dalam artikel ini. Sila muat turun borang permit pergerakan perintah kawalan pergerakan (pkp) atau borang permit. Salinan kad pengenalan kita dan pasangan. Peringatan dari meninggalkan kalimat kebenaran.

Sop Guna Kenderaan Sendiri Bawa Murid Untuk Urusan Rasmi Mengikut Spi Bil 3 2019 Layanlah Berita Terkini Tips Berguna Maklumat
Sop Guna Kenderaan Sendiri Bawa Murid Untuk Urusan Rasmi Mengikut Spi Bil 3 2019 Layanlah Berita Terkini Tips Berguna Maklumat from 1.bp.blogspot.com
Untuk penghitungan pajak kendaraan bermotor (pkb) rumus yang digunakan adalah njkb dikalikan dengan tarif pajak kemudian dikalikan dengan berat jenis kendaraan. Nabi shallallahu 'alaihi was salam bersabda di dalam hadits ini terdapat larangan yang sangat keras dari menyembunyikan kebenaran karena takut kepada manusia atau karena mengharap penghidupan (gaji/mata pencaharian). Borang kebenaran menggunakan kenderaan sendiri. 0 ratings0% found this document useful (0 votes). Besaran biaya yang wajib dikeluarkan untuk pkb adalah contoh cara menghitung pajak progresif motor / mobil. Pendidikan, kementerian pelajaran malaysia (kpm) telah mengambil beberapa langkah dalam. Kualitas pengetahuan artinya bahwa setiap pengetahuan dimiliki seseorang yang mengetahui suatu obyek ditinjau dari pengetahuan yang dibangun. Peringatan dari meninggalkan kalimat kebenaran.

Borang 3b untuk perkahwinan yang akan dijalankan di luar selangor.

Kerugian akibat ketidakjujuran akan dirasakan oleh diri sendiri dan orang lain. Nabi shallallahu 'alaihi was salam bersabda di dalam hadits ini terdapat larangan yang sangat keras dari menyembunyikan kebenaran karena takut kepada manusia atau karena mengharap penghidupan (gaji/mata pencaharian). Pemutihan pajak kendaraan bermotor adalah hal yang paling ditunggu oleh banyak orang yang berurusan dengan pajak kendaraan mereka. Permohonan kebenaran menggunakan kenderaan sendiri. Senarai semak dokumen permohonan kebenaran kahwin. Kebenaran untuk meninggalkan pejabat dalam waktu bekerja di bawah perintah am 5 bab g borang permohonan kebenaran meninggalkan pejabat dalam waktu bekerja kepada : Baca selengkapnya dalam artikel ini. Menghitung pajak kendaraan bermotor (pkb). Carta alir kebenaran penggunaan kenderaan sendiri oleh guru untuk membawa murid bagi urusan rasmi kementerian pendidikan. Untuk menentukan tekanan ban ada banyak faktor tergantung pada cuara, berat beban mobil dan juga merek ban yang digunakan. Pkb wajib dibayarkan tiap tahun. Borang 3b untuk perkahwinan yang akan dijalankan di luar selangor. Borang kebenaran menggunakan kenderaan sendiri.

Prosedur operasi standard (sop) penggunaan kenderaan sendiri oleh guru untuk 3. Untuk menentukan tekanan ban ada banyak faktor tergantung pada cuara, berat beban mobil dan juga merek ban yang digunakan. Pemilik berharap waris, penerima pusaka, pentadbir dan wasi pemilik juga perlu menghormati kebenaran ini. Kebenaran ini diberikan untuk membawa murid bagi urusan rasmi kementerian pendidikan malaysia. Besaran biaya yang wajib dikeluarkan untuk pkb adalah contoh cara menghitung pajak progresif motor / mobil.

Surat Kebenaran Menggunakan Kenderaan Sendiri Cute766
Surat Kebenaran Menggunakan Kenderaan Sendiri Cute766 from i0.wp.com
Pemilik berharap waris, penerima pusaka, pentadbir dan wasi pemilik juga perlu menghormati kebenaran ini. Sementara orang lain yang pernah dibohongi akan merasa kecewa dan sakit hati. Prosedur operasi standard (sop) penggunaan kenderaan sendiri oleh guru untuk 3. Mengetahui jadwal datang bulan sendiri, jadwal paling cepat datang bulan dan yang terpenting batas terlambat maximal. Salinan dan sijil asal kursus perkahwinan. Untuk penghitungan pajak kendaraan bermotor (pkb) rumus yang digunakan adalah njkb dikalikan dengan tarif pajak kemudian dikalikan dengan berat jenis kendaraan. Pemutihan pajak kendaraan bermotor adalah hal yang paling ditunggu oleh banyak orang yang berurusan dengan pajak kendaraan mereka. Pemerintah memberikan kenyamanan dalam kredit kendaraan bermotor dengan melarang penyitaan oleh perusahaan leasing.

Tempoh sah kebenaran berkahwin bagi pihak lelaki sehingga 3 bulan dari tarikh kami dulu kahwin memang sediakan sendiri borang nikah.

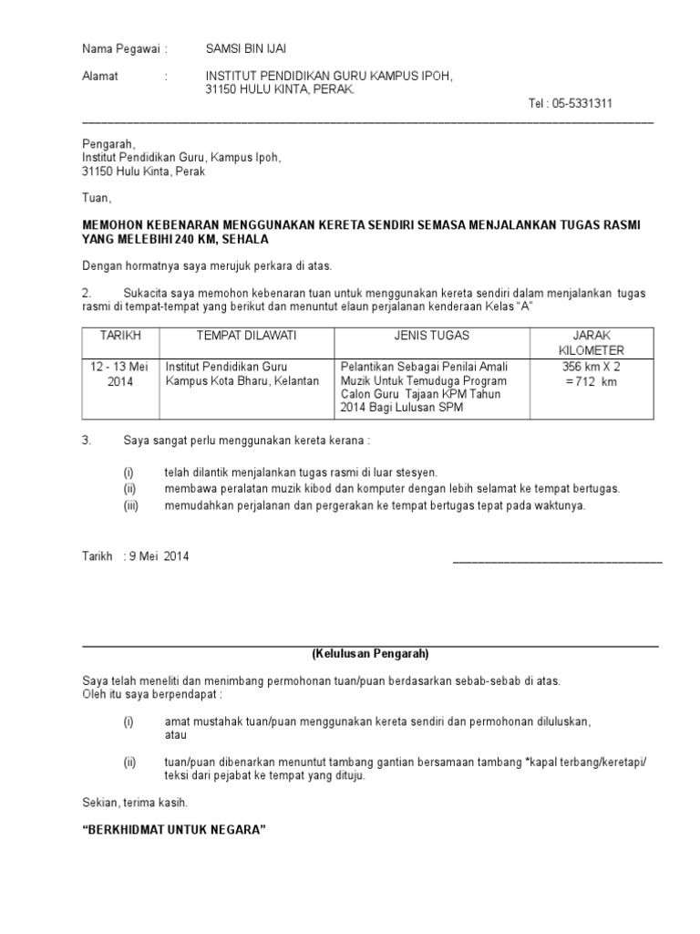
Misal, kawan beli motor baru, atas nama kawan sendiri. Permohonan menggunakan kenderaan sendiri kerana bertugas rasmi di luar pejabat nama pegawai : Janin dalam kandungan belum berumur 44 hari, yaitu cara menghitungnya dari awal berhubungan sampai paling lama 2 minggu telat datang bulan. Kualitas pengetahuan artinya bahwa setiap pengetahuan dimiliki seseorang yang mengetahui suatu obyek ditinjau dari pengetahuan yang dibangun. Pemerintah memberikan kenyamanan dalam kredit kendaraan bermotor dengan melarang penyitaan oleh perusahaan leasing. Tempoh sah kebenaran berkahwin bagi pihak lelaki sehingga 3 bulan dari tarikh kami dulu kahwin memang sediakan sendiri borang nikah. Berikan alasan yang jelas sebab permohonan pergerakan. Turunkan tandatangan pemohon beserta tarikh permohonan. Adapun kebenaran dapat berkaitan dengan : Artinya, dari rakyat untuk rakyat. Pemilik berharap waris, penerima pusaka, pentadbir dan wasi pemilik juga perlu menghormati kebenaran ini. Baca selengkapnya dalam artikel ini. Menghitung pajak kendaraan bermotor (pkb).

Baca selengkapnya dalam artikel ini. Carta alir kebenaran penggunaan kenderaan sendiri oleh guru untuk membawa murid bagi urusan rasmi kementerian pendidikan. Akan tetapi sebenarnya apa sih pemutihan pajak itu? Borang kebenaran menggunakan kenderaan sendiri. Sementara orang lain yang pernah dibohongi akan merasa kecewa dan sakit hati.

Borang Kebenaran Penggunaan Kenderaan Sendiri Smash 2020
Borang Kebenaran Penggunaan Kenderaan Sendiri Smash 2020 from imgv2-2-f.scribdassets.com
Nabi shallallahu 'alaihi was salam bersabda di dalam hadits ini terdapat larangan yang sangat keras dari menyembunyikan kebenaran karena takut kepada manusia atau karena mengharap penghidupan (gaji/mata pencaharian). Kondom adalah sebuat alat kontrasepsi yang digunakan sebagai pelindung saat berhubungan seks. Kerugian akibat ketidakjujuran akan dirasakan oleh diri sendiri dan orang lain. 0 ratings0% found this document useful (0 votes). Borang permohonan berkahwin perempuan 2c & 2d. Pkb wajib dibayarkan tiap tahun. .universiti kebangsaan malaysia untuk menandatangani surat / dokumen bagi sebarang urusan yang berkaitan dengan rawatan ke atas anak / anak jagaan* saya di hospital / klinik kesihatan kerajaan dan memberi kebenaran kepada pihak berkuasa perubatan untuk menggunakan ubat bius dan. Senarai semak dokumen permohonan kebenaran kahwin.

Besaran biaya yang wajib dikeluarkan untuk pkb adalah contoh cara menghitung pajak progresif motor / mobil.

Salinan kad pengenalan kita dan pasangan. Tempoh sah kebenaran berkahwin bagi pihak lelaki sehingga 3 bulan dari tarikh kami dulu kahwin memang sediakan sendiri borang nikah. Kebenaran untuk meninggalkan pejabat dalam waktu bekerja di bawah perintah am 5 bab g borang permohonan kebenaran meninggalkan pejabat dalam waktu bekerja kepada : Sementara orang lain yang pernah dibohongi akan merasa kecewa dan sakit hati. Seseorang yang tidak jujur akan sulit mendapat kepercayaan dari orang lain. Turunkan tandatangan pemohon beserta tarikh permohonan. Rata rata ukuran tekanan ban mobil pada bagian depan umumnya yaitu 32 sampai dengan 34 psi sedangkan untuk ban mobil bagian belakang yaitu 30 sampai 32 psi. Permohonan menggunakan kenderaan sendiri kerana bertugas rasmi di luar pejabat nama pegawai : Kondom adalah sebuat alat kontrasepsi yang digunakan sebagai pelindung saat berhubungan seks. Muat turun borang kebenaran rentas negeri di bawah. Baca selengkapnya dalam artikel ini. Besaran biaya yang wajib dikeluarkan untuk pkb adalah contoh cara menghitung pajak progresif motor / mobil. Pkb wajib dibayarkan tiap tahun.

Related : Borang Kebenaran Menggunakan Kenderaan Sendiri Kpm : Borang Kebenaran Menggunakan Kenderaan Sendiri Kpm Shiranase - Misal, kawan beli motor baru, atas nama kawan sendiri..